有机长余辉材料因为在信息加密、生物成像、余辉照明等方面的具有广泛应用前景而引起了研究人员的关注。然而,由于现有的长余辉材料需要在晶态下或者在绝缘的刚性基质中才能产生优异的余辉发射,这使得有机电致长余辉器件的构筑成为一个难题。
针对这一问题,麻豆视频 的黄维院士的陶冶和陈润锋教授课题组提出利用主客体掺杂策略来构建有机电致长余辉OLEDs,通过选择电荷传输性能优异的材料作为刚性主体,将余辉性能优异的材料作为客体(图1),构建出了低电压驱动的电致长余辉OLED器件。这一成果近期发表在Applied Physics Reviews(《应用物理评论》)上,被甄选为期刊亮点论文(Featured/Editor's picks),并被美国物理学联合会《科学之光》(AIP Scilight)杂志以“Improved LEDs glow after electricity switches off”为题进行了专访报道。文章的第一作者为麻豆视频 麻豆视频 青年教师谢高瞻,共同通讯作者为麻豆视频 麻豆视频 李明光副教授、黄维院士、陈润锋教授和陶冶教授。该项研究成果同时得到了国家自然科学基金、江苏特聘教授计划、江苏省自然科学基金项目等基金项目的支持。

图1: (a) 余辉OLEDs发射层的主客体掺杂策略示意图;(b-c) 余辉OLEDs发光机制的雅布隆斯基图。
主客体材料的选择及其掺杂薄膜的光物理性质
作者选择常用的电子传输材料PPT作为主体(图2),选择长余辉性能优异NPB作为客体,所制备的掺杂薄膜的光致磷光发射寿命可达414 ms,说明了PPT的刚性特性可以有效地将NPB与外界环境隔离,抑制其分子振动和旋转。NPB/PPT掺杂膜优异的长余辉性能,为基于它为发光层制备余辉OLEDs提供了前提。

图2: (a) PPT和NPB的化学结构;(b) 掺杂薄膜的荧光和磷光光谱;(c) 稳态(上)、延迟光致发光(下)以及(d)薄膜的瞬态光致发光衰减曲线。
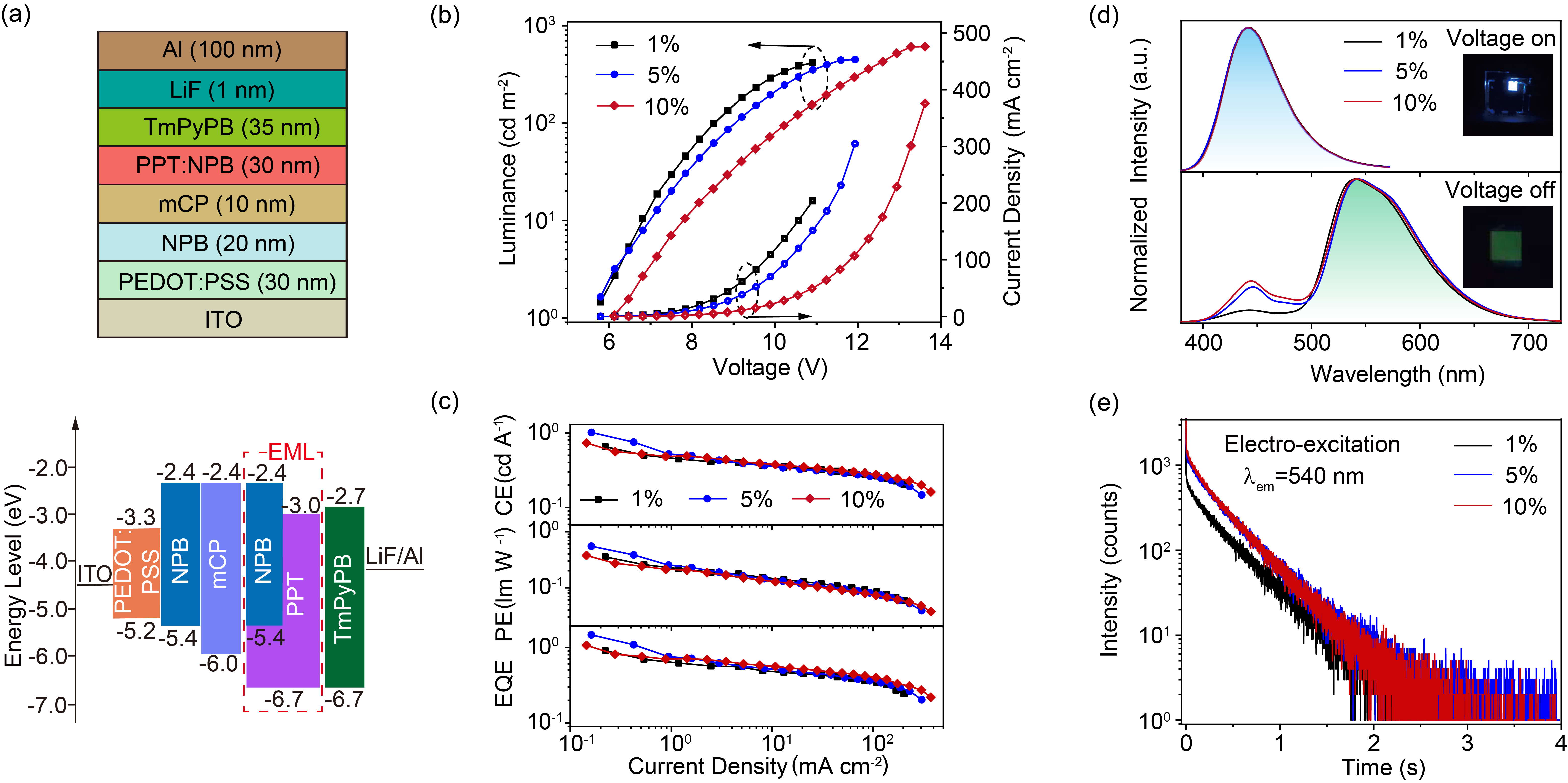
余辉OLEDs的发光性能及机理
由于掺杂薄膜的优异电荷传输能力,所以器件表现出优异的器件性能(图3),启动电压和100 cd m-2亮度下的驱动电压分别低至5.8 V和8.5 V;器件的EQE最高可达1.47%,这是目前所报道的余辉OLEDs的最高效率。在电激发下,器件表现出客体的荧光发射,在关闭电压后,器件主要表现为客体的超长寿命磷光发射,器件余辉寿命可达356 ms。这些结果充分表明主客体掺杂是一种构建兼具高器件效率和长余辉寿命的余辉OLEDs的可行策略。

图3:(a)器件结构(上)与能级图(下),(b)电流密度-电压-亮度曲线图,(c)效率-电流密度图,(d)通电时(上)和断电后(下)的电致发光光谱图,插图:(d) OLEDs器件通电(上)和断电(下)状态下的照片。(e)余辉OLEDs的瞬态电致发光衰减曲线。
另外,令人兴奋的是,该类余辉OLEDs显示出优异的长余辉发射稳定性,在超过10个开关周期后,其发光强度和余辉寿命几乎保持不变(图4),这归因于发光层掺杂薄膜固有的稳定余辉性能和器件平衡的载流子传输。此外,作者还分析了此类余辉OLEDs的发光过程:在外加电压下,由于客体单线态激子的荧光强度远远大于其三线态激子的磷光,所以在这个过程中只能观察到客体蓝色荧光发射,当外加电压关闭时,由于客体单线态激子的寿命短,荧光发射瞬间消失;同时,寿命超过300 ms的三线态激子则衰减缓慢,产生肉眼可见的绿色余辉。

图4:(a)-(e)余辉OLEDs的瞬态EL特性。(a) 关闭电压后的瞬态电致发光衰减图像;(b)和(c) 不同驱动电压(b)和不同脉冲宽度(c)下的瞬态电致发光衰减曲线;(d)时间分辨强度分布图(上)及其重复扫描测试;(e) 断电后的电致发光谱;(f)余辉OLEDs在通电(左)和断电(右)状态下的发射机理。
原文链接://doi.org/10.1063/5.0093704
撰稿:陶冶 编辑:沈晶晶 审核:陈润锋

